Содержание
Кварцевый резонатор — это радиоэлемент, который используется в радиотехнических цепях для генерации электрических колебаний. В этой статье мы подробно рассмотрим и развенчаем некоторые мифы, связанные с кварцевым резонатором, а также рассмотрим схемы на его основе.
Пьезоэлектрики
На самом деле, кварц — это один из самых распространенных минералов в земной коре. Его доля составляет около 60%! Если полупроводниковые радиокомпоненты в основном делают из кремния, то кварц тоже состоит из кремния но в связке с кислородом. Его химическая формула SiO2.
Выглядит минерал кварц примерно вот так.

Ну прямо как сокровище какое-то! Но ценность этого сокровища спрятана не в самом кварце, а в том, каким свойством он обладает. И этот эффект кварца сделал революцию в прецизионной (точной) электронике для генерации высокостабильных колебаний электрического сигнала.
Еще в 19 веке два брата Кюри обнаружили интересное свойство некоторых твердых кристаллов генерировать ЭДС , деформируя эти кристаллы. Деформация — это изменение формы какого-либо тела с помощью кручения, удара, растяжения и так далее. Так вот, ударяя по таким кристаллам, они обнаружили, что те могут выдавать какое-либо кратковременное напряжение.

Но они также обнаружили еще и обратный эффект. При подаче напряжения на такие кристаллы, эти кристаллы деформировались сами. Невооруженным глазом это было практически не заметно. Такой эффект назвали пьезоэффектом, а вещества — пьезоэлектриками.
Следует заметить, что ЭДС возникает только в процессе сжатия или растяжения. Может быть вы подумали, что можно прижать такой кристалл какой-нибудь увесистой болванкой и всю жизнь получать из него энергию? Как бы не так! Кстати, радиоэлемент пьезоизлучатель тоже относится к пьезоэлектрикам, и из него можно получить ЭДС. Ниже можно рассмотреть этот случай на видео. Светодиод, подпаянный к пьезоизлучателю, зажигается при ударе самого пьезоизлучателя.
https://youtu.be/b1kGfBikKTw
Не так давно смотрел фильм по National Geographic. Там целые пьезоэлектрические плиты устанавливали на дороге. По ним ходили люди и вырабатывали электрическую энергию, сами того не подозревая). Кстати, очень халявная, чистая и возобновляемая энергия. Ладно, что-то отвлекся… Так вот, кристаллы кварца тоже обладают пьезоэффектом и способны также вырабатывать ЭДС или деформироваться (изгибаться, изменять форму) под воздействием электрического тока.
[quads id=1]
Кварцевый резонатор
Что представляет из себя кварцевый резонатор
В настоящее время выявлены множество видов кристаллических веществ, но в электронике больше всего используют именно минералы кварца, так как он помимо того, что является пьезоэлетриком, так еще и обладает хорошей механической прочностью.
Резонатор — (от лат. resono — звучу в ответ, откликаюсь) — это система, которая способна совершать колебания с максимальной амплитудой, то есть резонировать, при воздействии внешней силы определенной частоты и формы. Получается, кварцевый резонатор в электронике, а в народе просто «кварц», — это радиоэлемент, который способен резонировать, если на него подать переменный ток определенной частоты и формы.
Кварцевые резонаторы выглядят примерно так.

Кварц является диэлектриком. А что будет если тонкий диэлектрик разместить между двумя металлическими пластинами? Получится конденсатор! Конденсатор получается очень маленькой емкости, так что замерить его емкость вряд ли получится. Зато не стали мудрить со схемотехническим обозначением кварца, и на схемах его показывают как прямоугольный кусочек кристалла, заключенный между двумя пластинками конденсатора.
Разобрав кварцевый резонатор, мы можем увидеть воочию сам кристалл кварца. Давайте вскроем кварц советского производства вот в таком корпусе.
Здесь мы видим прозрачный кристалл кварца, размещенный между двумя металлическими пластинками, к которым подпаяны выводы.

В маленьких кварцах типа этих

используются тонкие прямоугольные пластинки кварца. Физический размер и толщина кварцевой пластинки внутри кварцевого резонатора строго должна соблюдаться, так как именно ее габаритные размеры влияют на основную частоту колебаний. Здесь правило такое: чем больше толщина пластинки, тем ниже рабочая частота кварца. Поэтому, самые высокие частоты, на которые делают кварцы, составляет не более 50 МГц, так как пластинка получается очень тонкая, что создает трудности при ее изготовлении. Да и держать ее как-то надо в корпусе, не поломав. По идее, можно выжать из кварца частоту и до 200 МГц, но работать такой кварц будет на обертоне.
Обертоны кварцевого резонатора
Обертоны, или как еще их называют, моды или гармоники — это кратные частоты, выше основной частоты кварца. С помощью фильтров гасят основную частоту кварца и выделяют обертон. В кварцевом резонаторе в режиме обертонов используют нечетные обертоны. Если основная частота кварца F — это первый обертон, то его рабочие обертоны будут как 3F, 5F, 7F, 9F. Стоит также отметить, что амплитуда обертона убывает с ростом его частоты, поэтому, далее 9 обертона смысла брать уже нет, так как выделять амплитуду маленького сигнала очень проблематично.
Пример: возьмем кварц с частотой в 10 Мегагерц. Тогда мы можем возбудить его на обертонах в 30 Мегагерц (третий обертон), в 50 Мегагерц (пятый обертон), в 70 Мегагерц (седьмой обертон) и максимум в 90 Мегагерц (девятый обертон).
Чтобы хоть как-то понять, что такое обертоны, для примера послушайте основную частоту 110 Герц и ее обертоны.
Схема, которая возбуждает кварц на обертонах, сложная и не очень надежная, так как во-первых, надо «давить» главную частоту кварца и выделять обертон, а во-вторых, кварц может возбудиться в режиме случайных колебаний. На практике все-таки делают схемы с умножением главной частоты кварца, что намного проще и надежнее. Здесь также есть еще одно правило: если частота маркируется в целых числах в Килогерцах — это работа на основной гармонике, а если в Мегагерцах через запятую — это обертонная гармоника. Например: РГ-05-18000кГц — резонатор для работы на основной частоте, а РГ-05-27,465МГц — для работы на 3-ем обертоне.
Последовательный и параллельный резонанс кварца
Очень много мифов ходит по интернету именно о кварцевом резонаторе. Самый популярный миф гласит так: если подать постоянное напряжение на кварцевый резонатор, он будет выдавать переменное напряжение с частотой, которая на нем указана. Насчет «частоты, указанной на нем», я, может быть, соглашусь, но насчет постоянного напряжения — увы. Кристалл кварца просто сожмется или разожмется). Некоторые вообще до сих пор думают, что кварц сам по себе выдает переменный ток ). Ага, прям вечный двигатель).
Для того, чтобы понять принцип работы кварцевого резонатора, надо рассмотреть его эквивалентную схему:
С — это собственно емкость между обкладками конденсатора. То есть если убрать кристалл кварца, то останутся две пластины и их выводы. Именно они и обладают этой емкостью.
С1 — это эквивалетная емкость самого кристалла. Ее значение несколько фемтоФарад. Фемто — это 10-15 !
L1 — это эквивалентная индуктивность кристалла.
R1 — динамическое сопротивление, при работе кварца может достигать от нескольких Ом и до нескольких КОм
Можно заметить, что С1, L1 и R1 образуют последовательный колебательный контур, который обладает своей резонансной частотой.

Резонансная частота такого контура вычисляется по формуле

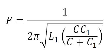
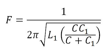
Но все бы хорошо, но как видите, есть еще в эквивалентной схеме кварцевого резонатора один увесистый конденсатор С, который портит всю малину.
Вся эта схема превращается в сложный параллельный колебательный контур. Резонансная частота такого контура уже будет определяться формулой

Поэтому, запомните: каждый кварцевый резонатор может возбуждаться на двух резонансных частотах. На частоте последовательного резонанса и на частоте параллельного резонанса. Если мы видим на кварце вот такую надпись

это говорит нам о том, что частота последовательного резонанса для этого кварцевого генератора составляет 8 МГц. Кварцевые резонаторы в электронике работают именно на частоте последовательного резонанса. На своей практике не припомню, чтобы кто-то возбуждал кварц для работы на частоте параллельного резонанса.
Часовой кварцевый резонатор
Чаще всего часовой кварц выглядит вот так.
«Что еще за часовой кварц?» — спросите вы. Часовой кварц — это кварц с частотой в 32 768 Герц. Почему на нем такая странная частота? Дело все в том, что 32 768 это и есть 215. Такой кварц работает в паре с 15-разрядной микросхемой-счетчиком. Это наша микросхема К176ИЕ5.
Принцип работы этой микросхемы такой: после того, как она сосчитает 32 768 импульсов, на одной из ножек она выдает импульс. Этот импульс на ножке с кварцевым резонатором на 32 768 Герц появляется ровно один раз в секунду. А как вы помните, колебание один раз в секунду — это и есть 1 Герц. То есть на этой ножке импульс будет выдаваться с частотой в 1 Герц. А раз это так, то почему бы не использовать это в часах? Отсюда и пошло название — часовой кварц.
В настоящее время в наручных часах и других мобильных гаджетах этот счетчик и кварцевый резонатор встроены в одну микросхему и обеспечивают не только счет секунд, но и целый ряд других функций, типа будильника, календаря и тд. Такие микросхемы называется RTC (Real Time Clock) или в переводе с буржуйского Часы Реального Времени.
Кварцевый генератор
Что такое генератор? Генератор — это по сути устройство, которое преобразует один вид энергии в другой. В электронике очень часто можно услышать словосочетание «генератор электрической энергии, генератор частоты, генератор функций » и тд.
Кварцевый генератор представляет из себя генератор частоты и имеет в своем составе кварцевый резонатор. В основном кварцевые генераторы бывают двух видов:
те, которые могут выдавать синусоидальный сигнал
и те, которые выдают прямоугольный сигнал, который чаще всего используется в цифровой электронике.
Схема Пирса
Для того, чтобы возбудить кварц на частоте резонанса, нам надо собрать схему. Самая простая схема для возбуждения кварца — это классический генератор Пирса, который состоит всего лишь из одного полевого транзистора и небольшой обвязки из четырех радиоэлементов:
Пару слов о том как работает схема. В схеме есть положительная обратная связь и в ней начинают возникать автоколебания. Но что такое положительная обратная связь?
В школе всем вам ставили прививки на реакцию Манту, чтобы определить, если у вас тубик или нет. Через некоторое время приходили медсестры и линейкой замеряли вашу реакцию кожи на эту прививку
Когда ставили эту прививку, нельзя было чесать место укола. Но мне, тогда еще салаге, было по барабану. Как только я начинал тихонько чесать место укола, мне хотелось чесать еще больше)) И вот скорость руки, которая чесала прививку, у меня замерла на каком-то пике, потому что совершать колебания рукой у меня максимум получалось с частотой Герц в 15. Прививка набухала на пол руки)) И даже один раз меня водили сдавать кровь в подозрении на туберкулез, но как оказалось, не нашли. Оно и неудивительно ;-).
Так что это я вам тут рассказываю хохмы из жизни? Дело в том, что эта чесотка прививки самая что ни на есть положительная обратная связь. То есть пока я ее не трогал, чесать не хотелось. Но как только тихонько почесал, стало чесаться больше и я стал чесать больше, и чесаться стало еще больше и тд. Если бы на мою руку не было физический ограничений, то наверняка, место прививки уже бы стерлось до мяса. Но я мог махать рукой только с какой-то максимальной частотой. Так вот, такой же принцип и у кварцевого генератора ;-). Чуть подал импульс, и он начинает разгоняться и уже останавливается только на частоте параллельного резонанса ;-). Скажем так, «физическое ограничение».
Первым делом нам надо подобрать катушку индуктивности. Я взял тороидальный сердечник и намотал из провода МГТФ несколько витков

Весь процесс контролировал с помощью LC-метра, добиваясь номинала, как на схеме — 2,5 мГн. Если не доставало, прибавлял витки, если перебарщивал номинал, то убавлял. В результате добился вот такой индуктивности.

Транзистора у меня в загашнике не нашлось, и в местном радиомагазине его тоже не было. Поэтому, пришлось заказывать на Али. Кому интересно, брал здесь.
Его правильное название: транзистор полевой с каналом N типа.
Ну а дальше дело за малым. Собираем схемку:
Небольшое лирическое отступление.
Как вы видите, я пытался максимально сократить связи между радиоэлементами. Дело все в том, что все радиоэлементы имеют свои паразитные параметры. Чем длиннее их выводы, а также провода, соединяющие эти радиоэлементы в схеме, тем хуже будет работать схема, а то и вовсе «не зафурычит». Да и вообще, схемы с кварцевым резонатором на печатных платах трассируют не просто так от балды. Здесь есть свои тонкие нюансы. Мельчайшие паразитные параметры могут испоганить весь сигнал на выходе такого генератора.
Итак, кварцевый генератор мы собрали, напряжение подали, осталось только снять сигнал с выхода нашего самопального генератора. За дело берется цифровой осциллограф OWON SDS6062
Первым делом я взял кварц на самую большую частоту, которая у меня есть: 32 768 Мегагерц. Не путайте его с часовым кварцем (о нем пойдет речь ниже).
Не, ну а что вы хотели? Хотели увидеть идеальную синусоиду? Не тут-то было. Сказались паразитные параметры плохо собранной схемы и монтажа.
Внизу в левом углу осциллограф нам показывает частоту:
Как вы видите 32,77 Мегагерц. Главное, что наш кварц живой и схемка работает!
Давайте возьмем кварц с частотой 27 МГц.
Частоту тоже более-менее показал верно.
Ну и аналогично проверяем все остальные кварцы, которые у меня есть.
[quads id=1]
Вот осциллограмма кварца на 16 МГц.
Осциллограф показал частоту ровно 16 МГц.
Здесь поставил кварц на 6 МГц.
Ровно 6 МГц!
На 4 МГц.
Все ОК.
Ну и возьмем еще советский на 1 Мегагерц. Вот так он выглядит.
Сверху написано 1000 КГц = 1МГц.
Смотрим осциллограмму.
Рабочий!
При большом желании можно даже замерять частоту китайским генератором-частотомером.

400 Герц погрешность для старенького советского кварца не очень и много, хотя дело может быть даже не кварце, а в самом частотомере.
[quads id=1]
Схема Пирса для прямоугольного сигнала
Итак, вернемся к схеме Пирса. Предыдущая схема Пирса генерирует синусоидальный сигнал
Но также есть видоизмененная схема Пирса для прямоугольного сигнала
А вот и она:
Номиналы некоторых радиоэлементов можно менять в достаточно широком диапазоне. Например, конденсаторы С1 и С2 могут быть в диапазоне от 10 и до 100 пФ. Тут правило такое: чем меньше частота кварца, тем меньше должна быть емкость конденсатора. Для часовых кварцев конденсаторы можно поставить номиналом в 15-18 пФ. Если кварц с частотой от 1 до 10 Мегагерц, то можно поставить 22-56 пФ. Если не хотите заморачиваться, то просто поставьте конденсаторы емкостью в 22 пФ. Точно не прогадаете.
Также небольшая фишка на заметку: меняя значение конденсатора С1 можно настраивать частоту резонанса в очень тонких пределах.
Резистор R1 можно менять от 1 и до 20 МОм, а R2 от нуля и до 100 кОм. Тут тоже есть правило: чем меньше частота кварца, тем больше значение этих резисторов и наоборот.
Максимальная частота кварца, которую можно вставить в схему, зависит от быстродействия инвертора КМОП. Я взял микросхему 74HC04. Она не слишком быстродействующая. Состоит из шести инверторов, но использовать мы будем только один инвертор.
Вот ее распиновка:
Подключив к этой схеме часовой кварц, осциллограф выдал вот такую осциллограмму:
Ну как всегда всю картинку испортили паразитные параметры монтажа. Но, обратите внимание на частоту. Осциллограф почти верно ее показал с небольшой погрешностью. Ну оно и понятно, так как главная функция осциллографа отображать сигнал, а не считать частоту)
Кстати, вам эта часть схемы ничего не напоминает?
Не эта ли часть схемы используется для тактирования микроконтроллеров?
Она самая! Просто недостающие элементы схемы уже есть в самом МК ;-)
Схема Колпитца
Это также довольно распространенная и знаменитая схема.

За основу взять схема усилителя с общим коллектором (эмиттерный повторитель). Здесь все как обычно. Резисторы R1 и R2 устанавливают рабочую точку для транзистора. Резистор RE устанавливает уровень выходного напряжения. Транзистор NPN 2N4265 может работать на частотах до 100 МГц, поэтому его и взяли. Эта схема будет работать с кварцами в диапазоне от 1 и до 5 МГц.
Готовые модули кварцевых генераторов
В настоящее время кварцевые генераторы выпускают в виде законченных модулей. Некоторые фирмы, производящие такие генераторы, достигают частотной стабильности до 10-11 от номинала! Выглядят готовые модули примерно так:

или так
Такие модули кварцевых генераторов в основном имеют 4 вывода. Вот распиновка квадратного кварцевого генератора:

Давайте проверим один из них. На нем написано 1 МГц

Вот его вид сзади.
Подавая постоянное напряжение от 3,3 и до 5 Вольт плюсом на 8, а минусом на 4, с выхода 5 я получил чистый ровный красивый меандр с частотой, написанной на кварцевом генераторе, то бишь 1 Мегагерц, с очень небольшими выбросами.

Ну прям можно залюбоваться).
Да и китайский генератор-частотомер показал точную частоту.
Отсюда делаем вывод: лучше купить готовый кварцевый генератор, чем самому убивать кучу времени и нервов на наладку схемы Пирса или Колпитца. Схема Пирса будет пригодна для проверки резонаторов и для ваших различных самоделок, хотя на Алиэкспрессе встречал готовый проверяльщик кварцевых резонаторов, способный замерять частоту кварцев от 1 и до 50 МГц. Посмотреть можете по этой ссылке.
Плюсы кварцевых генераторов
Плюсы кварцевых генераторов частоты — это высокая частотная стабильность. В основном это 10-5 — 10-6 от номинала или, как часто говорят, ppm (от англ. parts per million) — частей на миллион, то есть одна миллионная или числом 10-6. Отклонение частоты в ту или иную сторону в кварцевом генераторе в основном связано с изменением температуры окружающей среды, а также со старением кварца. При старении кварца, частота кварцевого генератора стает чуточку меньше с каждым годом примерно на 1,8х10-7 от номинала. Если, скажем, я взял кварц с частотой в 10 Мегагерц ( 10 000 000 Герц) и поставил его в схему, то за год его частота уйдет примерно на 2 Герца в минус ;-) Думаю, вполне терпимо.
Большой выбор кварцевых резонаторов тут.
Смотрите подробное видео про кварцевый резонатор:








































