Содержание
Что такое проводник?
Проводник — это вещество или материал, которое отлично проводит электрический ток.
Как вы все знаете, любое вещество состоит из атомов. Атомы в свою очередь состоят из электронов и ядер. (Подробнее про строение атома).
Давайте для понимания рассмотрим вот такую картинку. Предположим, что пастух — это ядро, а овцы вокруг него — это электроны.
Те овцы, которые находятся рядом с пастухом, не могут от него просто так взять и убежать, так как он присматривает за ними. Иначе останется без мяса и шерсти к осени. Но вот те овцы, которые находятся поодаль от пастуха, имеют все шансы от него убежать.
То же самое можно сказать и про атомы и электроны. Электроны, которые находятся на самой дальней орбите от ядра менее зависимы, чем те, которые расположены ближе к ядру.
В результате, такие электроны могут «оторваться» от ядра и начать самостоятельное путешествие по веществу. Такие электроны называются свободными электронами.
Сопротивление проводника
Удельное сопротивление
И вот мы плавно переходим к другому вопросу, что такое сопротивление проводника? Как я уже говорил выше, чем больше свободных электронов в веществе, тем лучше такое вещество проводит электрический ток. Следовательно, сопротивление проводника зависит от того, сколько свободных электронов содержит такой проводник. Поэтому, в физике есть такое понятие, как удельное сопротивление вещества.
Узнай что такое протон прямо сейчас.
Еще раз. Если в каком-либо веществе полно свободных электронов, то такое вещество будет хорошо проводить электрический ток. Если электронов еще меньше, то такое вещество будет плохо проводить электрический ток. А если свободных электронов почти нет, то такое вещество совсем не будет проводить ток. Поэтому, удельное сопротивление вещества показывает способность этого вещества препятствовать электрическому току, проходящему через него.
Удельное сопротивление выражается в единицах Ом × м.
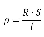
Формула удельного сопротивления проводника
где
ρ — это удельное сопротивление, Ом × м
R — сопротивление проводника, Ом
S — площадь поперечного сечения, м2
l — длина проводника, м
Площадь поперечного сечения проводника — это что-то типа этого:

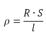
Формула сопротивления проводника
Итак, мы теперь знаем такую физическую величину, как удельное сопротивление. Теперь мы с легкостью можем найти сопротивление проводника.
где
ρ — это удельное сопротивление, Ом × м
R — сопротивление проводника, Ом
S — площадь поперечного сечения, м2
l — длина проводника, м
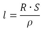
Длина проводника
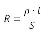
Допустим перед нами стоит задача: у нас есть медный провод с поперечным сечением в 0,1 мм2 . Нам надо получить сопротивление проводника в 1 Ом. Какая длина проводника должна быть?
Оказывается, эта задачка решается очень просто. Достаточно вспомнить формулу выше.
Отсюда получаем, что
Удельное сопротивление меди можно узнать из таблицы. Оно равняется 0,017 Ом × мм2 /м.
Получаем, что
Проводники на печатных платах
Как вы знаете, все схемы состоят из проводов или печатных дорожек, которые соединяют различные радиоэлементы в единое целое. Например, в статье «самый простой усилитель звука«, я с помощью проводов соединял различные радиоэлементы, и у меня получилась схема, которая усиливала звуковые частоты.
Для того, чтобы все было красиво, эстетично и занимало мало пространства, прямо на платах создают «проводки», которые уже называются «печатными дорожками».
В домашних условиях все это делается с помощью технологии ЛУТ (Лазерно-Утюжная-Технология).
На другой стороне печатной платы уже располагаются радиоэлементы
Так как радиолюбители стараются делать свои устройства как можно меньше по габаритам, то и плотность монтажа возрастает. Поэтому, в некоторых случаях радиоэлементы и печатные дорожки располагают по обе стороны платы.
Промышленные печатные платы уже делают многослойными. Они состоят из слоев, как торт из коржей:
Бум SMD технологий вызвал в свою очередь нужду в многослойных печатных платах.
Сверхпроводимость
Также в природе существует и такой эффект, как сверхпроводимость. Сверхпроводимость — это когда некоторые материалы и их сплавы вообще не обладают сопротивлением. То есть их сопротивление очень и очень близко к нулю. Но, спешу вас разочаровать, в простых условиях это получить невозможно, так как это достигается только при критических температурах.
Если желаете больше узнать про материалы, которые используются в электронике и электротехнике, скачайте эту книгу.
Рекомендую к прочтению — Мощность электрического тока.



























